2020深圳市中考数学试卷分析

(回忆版)

2020深圳市中考数学试卷真题及答案解析

一,选择题(每小题3分,共12题,满分36分)

  1. 2020的相反数是( A )
    A. -2020       B. 1/2020       C. 2020       D. -1/200
    [考点]相反数
  2. 下列图形既是轴对称图形又是中心对称图形的是( B )
    [考点]轴对称图形与中心对称图形 既是轴对称图形又是中心对称图形
  3. 2020年6月30日,深圳市总工会启动“百万职工消费扶贫采购节”活动,预计撬动扶贫消费额约为 150 000 000元。将150 000 000用科学计数法表示为 ( C )
    A. 1.5×109       B. 15×107       C. 1.5×108       D. 0.15×109
    [考点]科学计数法
  4. 分别观察下列几何体,其中主视图,左视图和俯视图完全相同的是 ( D )
    A. 圆锥       B. 圆柱       C. 三棱柱       D. 正方体
    [考点]三视图 2020年广东省深圳市中考数学试卷题四
  5. 某同学在今年的中考体育测试中选考跳绳。考前一周,他记录了自己五次跳绳的成绩(次数/分钟): 246, 254, 247, 263, 255。 这五次成绩的 平均数 和 中位数 分别是 ( B )
    A. 253,247      B. 253, 254       C. 254, 247       D. 254, 254
    [考点]数据与统计之平均数,中位数
    平均数是指在一组数据中所有数据之和再除以数据的个数。 中位数:一组数据按从小到大(或从大到小)的顺序依次排列,处在中间位置的一个数。
  6. 下列运算正确的是 ( C )
    A. a + a = a²       B. (ab)³ = ab³       C. a(a + b) = a² + ab       D. a²*a³ = a6
    [考点]整式运算
  7. 如图,将直尺与30°角的三角尺叠放在一起,若 ∠1 = 40°,则 ∠2 的大小是 ( D )
    A. 50°       B. 60°       C. 70°       D. 80°
    [考点]平行线的性质,三角形内角和 2020年广东省深圳市中考数学试卷题七 2020年广东省深圳市中考数学试卷题七
  8. 如图,在三角形∆ABC中,AB=AC。 在AB,AC上 分别截取AP, AQ, 使 AP = AQ. 再分别以点P, Q为圆心,以大于 1/2PQ的长为半径作弧,两弧在 ∠BAC内交于点R,做射线AR,交BC于点D。若BC= 6, 则BD的长为 ( B )
    A. 2       B. 2       C. 2       D. 5
    [考点]尺规做图,线段的垂直平分线,等腰三角形 2020年广东省深圳市中考数学试卷题八 2020年广东省深圳市中考数学试卷题八
  9. 以下说法正确的是 ( A )
    A. 平行四边形的对边相等       B. 圆周角等于圆心角的一半       C. 分式方程式 1/x-2 = x-1/x-2 -2 的解为2       D. 三角形的一个外角等于两个内角的和
    [考点]命题判断
  10. 如图,为了测量一条河流的宽度,一测量员在河岸边相距200米的P, Q两点分别测量对岸一颗树位置,T在P的正北方向,且T在Q的北偏西70°方向,则河宽(PT的长)可表示为 ( B )
    A. 200tan70°米       B. 200/tan70°米       C. 200sin70°米       D. 200/sin70°米
    [考点]三角函数实际应用 2020年广东省深圳市中考数学试卷题十
  11. 二次函数 y= ax² + bx + c (a ≠ 0 ) 的顶点坐标为 (-1,n),其部分图像如图所示。以下结论 错误 的是 ( C )
    A. abc>0       B. 4ac-b²<0       C. 3a+c>0       D. 关于 x 的方程 ax² + bx + c = n + 1 无实数根
    [考点]二次函数中的图系关系 2020年广东省深圳市中考数学试卷题十一 2020年广东省深圳市中考数学试卷题十一
  12. 如图,矩形纸片ABCD 中, AB= 6, BC=12 , 将纸片折叠,使点B落在边AD的延长线的点G处,折痕为EF, 点E, F 分别在边AD和边BC上,连接BG,交CD于点K, FG交CD于点H。 给出以下结论: ① EF⊥BG; ②GE = GF; ③∆GDK和∆GKH的面积相等; ④当点F与点C重合时,∠DEF = 75° ( C ) 2020年广东省深圳市中考数学试卷题十二
    A. 1个       B. 2个       C. 3个       D. 4个
    [考点]四边形多结论题 2020年广东省深圳市中考数学试卷题十二

第二部分 非选择题
二,填空题(本题共4小题,每小题3分,共12分)

  1. 分解因式: m³ – m = m(m +1)(m-1)
    [考点]因式分解
  2. 分解因式: 口袋里有编号为1,2,3,4,5,6,7的7个球(除了编号外其余均相同,从中随机摸出一个球,摸出编号为偶数的概率是)3/7
    [考点]概率
  3. 如图,在平面直角坐标系中, ABOC为平行四边形,A(1, 2), B(3,1),C在反比例函数的图像上,则K=-2
    [考点]反比例函数解析式 2020年广东省深圳市中考数学试卷题十五
  4. 如图,在四边形ABCD中,AC与BD相交于点O,∠ABC= LDAC=90°, tan∠ACB=1/2, BO/OD=4/3, 则SΔABD/ SΔCBD= 3/32
    [考点]相似三角形的构造 2020年广东省深圳市中考数学试卷题十六 2020年广东省深圳市中考数学试卷题十六

三,解答题(第17题5分,第18题6分,第19题7分,第20题8分,第21题8分,第22题9分,第23题9分,满分52分)

  1. 计算:(1/3)-1 – 2cos30° + |-√3 | – (4-π)0 .
    [考点]实数与三角函数运算
    [解析]原式= 3 – √3 + √3 – 1 =4
  2. 先化简再求值,a+1/a2-2a+1 ÷ (2+ 3-a/a-1) ,其中 a = 2
    [考点]分式化简求值
    [解析]原式=a+1/(a-1)2⋅ a-1/a+1 = 1/a-1
    将a=2 代人得:1/a-1 = 1
  3. 以人工智能,大数据,物联网为基础的技术创新促进了新业态蓬勃发展,新业态发展对人才的需求更加旺盛。某大型科技公司上半年新招聘软件,硬件,总线,测试四类专业的毕业生,现随机调查了 m 名新招聘毕业生的专业情况,并将调查结果绘制成如下两幅不完整的统计图。 2020年广东省深圳市中考数学试卷题十九
    请根据统计图提供的信息,解答下列问题。
    m = ____ , n= _____ ;
    请补全条形统计图 ;
    在扇形统计图中,“软件”所对应的扇形的圆心角是____度 ;
    若该公司新招聘600名毕业生,请你估计“总线”专业的毕业生有___名。
    [考点]数据与统计
    [解析](1) m = 50, n = 10;
    补充条形统计图:20
    20%的圆心角是72;
    600×30% = 180 名。
  4. 如图,已知AB为圆O的直径,点C为圆O上一点,E为BC延长线上一点,连接AE, CD⊥AE与点D, CD恰好为圆O的切线。 2020年广东省深圳市中考数学试卷题二十
    求证:AE=AB;
    若AB=10, BC=6, 求CD的长。
    [考点]圆的证明与计算
    [解析] 2020年广东省深圳市中考数学试卷题二十
  5. 端午节快到了,某商家用620元买进了30个蜜枣粽和50个肉粽,其中每个肉粽的进货价比每个蜜枣粽的进货价多6元。
    求每个肉粽和蜜枣粽的进价分别是多少元?
    由于粽子的销量很好,然后老板又购进了一批这两种粽子,总共300个,其中单个肉粽的售价为14元,单个蜜枣粽的售价为6元,若肉粽的数量不多于蜜枣粽数量的两倍,求购进肉粽总共多所个的时候,总利润是最大的,其最大利润是多少?
    [考点]一元一次不等式及一次函数最值的应用
    [解析](1)每个肉粽进价10元,每个蜜枣粽进价4元;
    设购买肉粽X个,则蜜枣粽(300-X)个,令总利润为 y 元
    由题意得:x ≤ 2 (300-x), 解得 x ≤ 200
    由题意得:y=4x = 2(300-x), 化简的: y=2x+600
    ∵2>0, ∴y随着x 的增大而增大
    又∵x ≤ 200, ∴当x=200时, y有最大值,是1000元。
    答:购进肉粽总200个的时候,总利润是最大为1000元。
  6. 背景:在一次小组合作课上,小明将两个正方形按背景图位置摆放(E, A, D在同一条直线上)
    发现:BE=DG且 BE⊥DG
    (1)将正方形AEFG绕点A按逆时针方向旋转,(如图1)还能得到BE = DG吗?如果能,请写证明。如果不能,请写出理由:
    (2)把背景中的正方形分别改为棱形AEFG和棱形ABCD,将棱形AEFG绕点A按顺时针方向旋转,(如图2)。试问当∠EAG 与 ∠BAD的大小满足怎样的关系时候,背景中的结论 BE= DG 仍成立。请说明理由;
    把背景中的正方形改为矩形AEFG和矩形ABCD, AE=4, AG=6, AB=8, AD=12, 将矩形AEFG绕点A按顺时针方向旋转,(如图3),BG2 + DE2是定值,请求出这个定值。 2020年广东省深圳市中考数学试卷题二十二 2020年广东省深圳市中考数学试卷题二十二
    [考点]手拉手模型
    [解析] 2020年广东省深圳市中考数学试卷题二十二
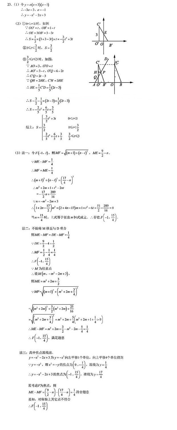
  7. 抛物线 y=ax2 + bx + 3(a≠0)与x 轴交于A(-3,0)和B (1,0),与 y 轴交于点 C, 顶点为点D。
    (1)求抛物线解析式;
    (2)连接AD, CD, BC, 将三角形OBC 沿着 x 轴以一个单位每秒的速度向左平移,t 秒后到达ΔOBC的位置,对应点分别是O, B, C,当点 O 与点 A 重合时停止移动,设 S 表示三角形OBC与四边形AOCD的重叠部分的面积,请直接写出 S 与时间 t的函数解析式;
    (3)如图2,点 M (m, n)为抛物线上的任意一点,过M向直线 y=9/2作垂线,垂足E, F为抛物线对称轴上的一点,当 ME- MF 恒等于 1/4时, 求 F 点的坐标。
    把背景中的正方形改为矩形AEFG和矩形ABCD, AE=4, AG=6, AB=8, AD=12, 将矩形AEFG绕点A按顺时针方向旋转,(如图3),BG2 + DE2是定值,请求出这个定值。
    [考点]二次函数,重叠面积,定值
    [解析] 2020年广东省深圳市中考数学试卷题二十三 2020年广东省深圳市中考数学试卷题二十三
近三年中考试卷比对分析
题号 2018年 2019年 2020年
1 相反数 绝对值 相反数
2 科学计数法 轴对称图形 轴对称图形和中心对称图形
3 三视图 科学计数法 科学计数法
4 中心对称图形 几何体的展开图 三视图
5 统计(众数,极差) 统计(众数) 统计(平均数,中位数)
6 整式的运算 幂的乘法与积的乘方 整式的运算
7 一次函数的平移 平行线的性质 平行线的性质
8 相交线与平行线 基本作图 尺规作图,垂直平分线
9 二元一次方程组 一次函数的图象 命题的判断
10 圆(切线) 命题与定理 三角函数
11 二次函数的符号判断 定义新运算 二次函数的符号判断
12 反比例函数综合 棱形的性质 四边形多结论问题
13 因式分解 提公因式法与公式的综合运用 因式分解
14 概率 概率公式 概率
15 三角形阴影面积 翻折变换(折叠问题) 反比例函数综合
16 三角形综合 反比例函数图象上点的坐标特征 三角形相似
17 实数运算 实数运算 实数运算
18 分式化简求值 分式化简求值 分式化简求值
19 统计图 条形统计图 统计图
20 尺规作图(角平分线)
棱形证明与计算
解直角三角形的应用
(仰角俯角问题)
圆的证明与计算
21 分式与不等式应用题 二元一次方程组的应用 一元一次不等式应用及最值问题
22 圆的综合
(三角函数,相似,截长补短)
二次函数综合题
(线段和最小,面积)
四边形的证明和手拉手模型
23 二次函数的综合
(面积,折叠)
圆的综合
(切线,三角函数,相似,最值)
二次函数综合
(面积,焦点准线问题)

发布者:mryangying

2014年 深圳学大教育_1对1个性化辅导 2015-2016 学而思 -深圳分部 2016-2018 百年教育 2018-至今 深圳松鼠教育